You have no items in your shopping cart.
Rabbit Follicle Stimulating Hormone (FSH) ELISA Kit
SKU: orb779406

Featured
Description
Research Area
Metabolism Research
Images & Validation
−Item 1 of 1
| Tested Applications | ELISA |
|---|---|
| Application Notes |
Key Properties
−| Reactivity | Rabbit |
|---|---|
| Sample Types | serum, plasma and other biological fluids |
| Assay Type | Sandwich |
| Assay Time | 3.5h |
| Range | 3.13-200 ng/mL |
| Sensitivity | 0.85 ng/mL |
| Concentration | 100 mIU/mL |
Storage & Handling
−| Storage | Refer to the Storage Guidelines in the Manual |
|---|---|
| Expiration Date | Please enquire. |
| Disclaimer | For research use only |
Alternative Names
−FSH-B, FSH-beta
Similar Products
−Rabbit FSH(Follicle-Stimulating Hormone)ELISA Kit [orb1714648]
Rabbit
1.563-100mIU/ml
0.938mIU/ml
96 T, 48 Trabbit FSH ELISA Kit [orb410001]
Rabbit
1.56 mIU/mL-100 mIU/mL
0.39 mIU/mL
24 T, 10 x 96 T, 48 T, 96 T, 5 x 96 TRabbit Follicle Stimulating Hormone (FSH) ELISA Kit [orb2810979]
Rabbit
3.12-200ng/mL
1.5ng/mL
5 x 96 T, 48 T, 96 T

Quality Guarantee
Explore bioreagents carefree to elevate your research. All our products are rigorously tested for performance. If a product does not perform as described on its datasheet, our scientific support team will provide expert troubleshooting, a prompt replacement, or a refund. For full details, please see our Terms & Conditions and Buying Guide. Contact us at [email protected].

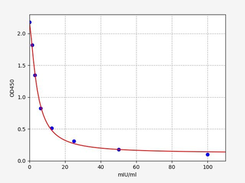
Standard curve for orb779406 ELISA kit.
Rabbit Follicle Stimulating Hormone (FSH) ELISA Kit (orb779406)
Based on 0 reviews
Participating in our Biorbyt product reviews program enables you to support fellow scientists by sharing your firsthand experience with our products.
Login to Submit a Review
