You have no items in your shopping cart.
Rat TXB2 ELISA Kit
SKU: orb411283
Description
Research Area
Signal Transduction
Images & Validation
−
| Application Notes |
|---|
Key Properties
−| Reactivity | Rat |
|---|---|
| Sample Types | serum, plasma, tissue homogenates |
| Assay Type | Sandwich |
| Assay Time | 1-5h |
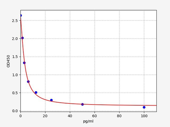
| Range | 3.9 pg/mL-250 pg/mL |
| Sensitivity | 0.97 pg/mL |
Storage & Handling
−| Storage | Refer to the Storage Guidelines in the Manual |
|---|---|
| Expiration Date | Please enquire. |
| Disclaimer | For research use only |
Similar Products
−Rat 11-Dehydrothromboxane B2 (11-DH-TXB2) ELISA Kit [orb1946803]
Rat
15.63-1000pg/mL
9.38 pg/mL
48 T, 96 T

Quality Guarantee
Explore bioreagents carefree to elevate your research. All our products are rigorously tested for performance. If a product does not perform as described on its datasheet, our scientific support team will provide expert troubleshooting, a prompt replacement, or a refund. For full details, please see our Terms & Conditions and Buying Guide. Contact us at [email protected].
Quick Database Links
Gene Symbol
TXB2
Protocol Information
Rat TXB2 ELISA Kit (orb411283)
Based on 0 reviews
Participating in our Biorbyt product reviews program enables you to support fellow scientists by sharing your firsthand experience with our products.
Login to Submit a Review

