You have no items in your shopping cart.
Rat Hyaluronic acid ELISA Kit
SKU: orb411195
Description
Research Area
Cell Biology
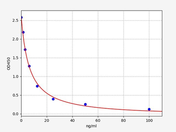
Images & Validation
−
| Application Notes |
|---|
Key Properties
−| Reactivity | Rat |
|---|---|
| Sample Types | serum, plasma, tissue homogenates |
| Assay Type | Sandwich |
| Assay Time | 1-5h |
| Range | 4.69 ng/mL-300 ng/mL |
| Sensitivity | 1.17 ng/mL |
Storage & Handling
−| Storage | Refer to the Storage Guidelines in the Manual |
|---|---|
| Expiration Date | Please enquire. |
| Disclaimer | For research use only |
Similar Products
−
Quality Guarantee
Explore bioreagents carefree to elevate your research. All our products are rigorously tested for performance. If a product does not perform as described on its datasheet, our scientific support team will provide expert troubleshooting, a prompt replacement, or a refund. For full details, please see our Terms & Conditions and Buying Guide. Contact us at [email protected].
Quick Database Links
Gene Symbol
HA
Documents Download
Datasheet
Product Information
Request a Document
Protocol Information
Rat Hyaluronic acid ELISA Kit (orb411195)
Based on 0 reviews
Participating in our Biorbyt product reviews program enables you to support fellow scientists by sharing your firsthand experience with our products.
Login to Submit a Review
